Bản vẽ chi tiết đá ốp thang máy được các kiến trúc sư sử dụng để lên thiết kế với các thông số chi tiết giúp cho việc thi công chính xác và dễ dàng hơn.
Khách hàng cũng có thể xem qua loại bản vẽ này để có thể tìm hiểu về kết cấu, quy cách thi công hạng mục này trong công trình của mình.

Bản vẽ chi tiết ốp đá thang máy là gì?
Bản vẽ đá ốp thang máy được hình thành sau quá trình khảo sát, đo đạc kích thước trên thực tế. Trong bản vẽ, từng chi tiết nhỏ nhất sẽ được mô tả chính xác để kiến trúc sư hoặc người thợ có thể thi công một cách chính xác.
Bản vẽ dùng để ốp đá thang sẽ là bản vẽ mô phỏng phần mặt đứng cửa thang. Bản vẽ sẽ chỉ rõ vị trí nào cần ốp đá, độ dày – mỏng, kích thước của khối đá ở từng khu vực cụ thể.
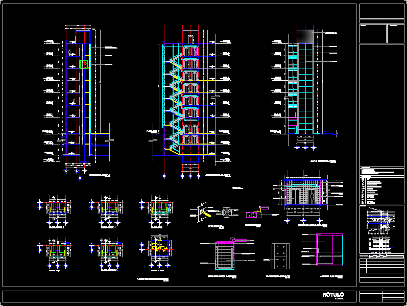
Mẫu bản vẽ chi tiết ốp đá thang máy cad
Bản vẽ chi tiết thang máy sẽ được thiết kế bằng phần mềm Autocad. Từng thông số chi tiết nhỏ nhất sẽ được thể hiện rõ ràng, dễ hiểu để đội thợ thi công tiến hành theo.
Dưới đây, quý khách có thể tham khảo một bản vẽ mẫu ốp đá thang máy cad cho công trình thang máy nhà riêng như sau:

Quy trình chi tiết thi công ốp đá thang máy
Có 2 phương pháp ốp đá thang máy đó là: ốp đá thường và ốp đá cửa thang máy bằng bát và hệ râu Inox. Trong đó, cách ốp đá thang máy bằng bát và hệ râu Inox sẽ có quy trình phức tạp, đòi hỏi kỹ thuật cao hơn. Phương pháp này được áp dụng khi cần treo tấm đá lớn hở so với tường.
Còn với các công trình thi công ốp đá granite, đá marble hay đá nhân tạo thang máy theo phương pháp thông thường sẽ diễn ra gồm các bước chi tiết sau đây:
- Dựa trên bản vẽ ốp đá thang máy, đội thợ thi công sẽ xác định và khoan lỗ bắt bát định vị cho đá.
- Tiếp đó, trên mỗi viên đá sẽ được tạo các rãnh để móc bát vào khi ốp đá.
- Hệ thống bát sẽ được gắn chặt vào các rãnh bằng loại keo chuyên dụng, có độ kết dính cao.
- Gắn đá lên trên tường bằng nêm và húc.
- Vệ sinh sạch sẽ sau khi hoàn thiện. Đồng thời, kiểm tra lại toàn bộ hệ thống mạch, đảm bảo đá đã được gắn chặt, không có khe hở.
Dịch vụ thi công ốp đá thang máy chuyên nghiệp của Đá ốp lát Hải Nam
Đá ốp lát Hải Nam là đơn vị phân phối và thi công ốp đá thang máy chuyên nghiệp với hơn 10 năm kinh nghiệm. Chúng tôi có đội ngũ kiến trúc sư, thợ thi công lành nghề, chuyên môn cao.
Đá ốp lát Hải Nam cung cấp dịch vụ thi công trọn gói. Chúng tôi sẽ trực tiếp đến khảo sát công trình, lên bản vẽ chi tiết ốp đá thang máy, thi công với kỹ thuật cao, đảm bảo độ chính xác tuyệt đối, thẩm mỹ và độ bền vượt trội.





Bài viết cùng chuyên mục
Đá Ốp Lát Cho Nhà Tắm: Bí Quyết Chọn Lựa Hoàn Hảo Cho Không Gian Sang Trọng và Bền Đẹp
Công ty Đá ốp lát Hải Nam tin tưởng lựa chọn SCTT cho dịch vụ IT
ĐÁ GRANITE TỰ NHIÊN LÀ GÌ – CÁC LOẠI ĐÁ GRANITE?